1838-1918 Mother Marianne of Molokai Remembrance Prayers.
1955- The Tonnara of Favignana- Trap Net of Sicily.
1972- Advice on Hunting Turtles. Molokai Community Action Program Newsletter.
1976- West Molokai Development and Walter Ritte. HSB.
1977-1979 Lanai, Kau, Kona, Maui and Molokai George Balazs Field Notebook.
1978- Bill Puleloa Marshall Islands Correspondence.
1978- Letter to Bill Puleloa Marshall Islands from George Balazs HIMB.
1980s- Bill Puleloa Correspondence & Other Turtle Records and Articles.
1980s- Molokai Sea Turtle Sightings G.H. Balazs File.
1980s Part 1 of 3: Molokai Articles, Letters, and Tagging Data File of G.H. Balazs.
1980s Part 2 of 3: Molokai Articles, Letters, and Tagging Data File of G.H. Balazs.
1980s Part 3 of 3: Molokai Articles, Letters, and Tagging Data File of G.H. Balazs.
1980s- Molokai File Part 1 of 2: Dedicated to Bill Puleloa Assembled by George Balazs.
1980s- Molokai File Part 2 of 2: Dedicated to Bill Puleloa Assembled by George Balazs.
1980-1982 Part 1 of 2: Molokai Book 1 with Maui George Balazs Field Notebook.
1980-1982 Part 2 of 2: Molokai Book 1 with Maui George Balazs Field Notebook.1980s-1990s Part 1 of 2 Molokai G.H. Balazs Articles, Data & Letters.
1980-1990s- Palaau Molokai Map of Bullpen Fishing Medeiros-Bicoy-Puleloa-Balazs.
1981- Letter from the Dupre Family on Molokai to George Balazs.
1980s-1990s Part 1 of 2: Molokai G.H. Balazs Articles, Data & Letters.
1980s-1990s Part 2 of 2: Molokai G.H. Balazs Articles, Data & Letters.
1982- Letter from Bill Puleloa to George Balazs.
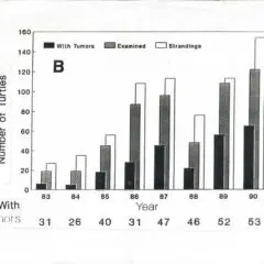
1983- Number of Baklad Trap Net Along the South Molokai Coast. Compiled by G. H. Balazs.
1985 Part 1 of 2: Molokai Book 2 George Balazs Field Notebook.
1985 Part 2 of 2: Molokai Book 2 George Balazs Field Notebook.
1985-1987 Part 1 of 2: Molokai Book 3 George Balazs Field Notebook.
1985-1987 Part 2 of 2: Molokai Book 3 George Balazs Field Notebook.
Baker (1987) Backyard Fishing on the South Coast of Moloka'i. MA Thesis, UH at Manoa.
1988-1990 Molokai Book 4 George Balazs Field Notebook.
1989- Sea Turtle Sighting Report for Kalaupapa Molokai by M. Williams.
1990-1991 Part 1 of 2: Molokai Book 5 George Balazs Field Notebook.
1990-1991 Part 2 of 2: Molokai Book 5 George Balazs Field Notebook.
1992-1993 Molokai Book 6B George Balazs Field Notebook.
1993-1995 Molokai Book 6 George Balazs Field Notebook.
1996-1997 Molokai Book 7 George Balazs Field Notebook.
1997- A King, Several Queens and Four Mules. Honolulu Magazine.
1998-1999, 2002 Part 1 of 2: Molokai George Balazs Field Notebook.
1998-1999, 2002 Part 2 of 2: Molokai George Balazs Field Notebook.
1996-1998 Pala'au Molokai Turtle Fishing. Photo Album by George H. Balazs.
1997- Bill Puleloa Tagging of Nesting Green Turtle at Kawa'aloa Bay, Molokai.
1999- Pala'au Molokai Turtle Fishing, Kawa'aloa and Halawa. Photo Album by George H. Balazs.
2001- Bill Puleloa Tagging of Molokai Green Turtle 9575
2002-2003 Part 1 of 2: Molokai George Balazs Field Notebook.
2002-2003 Part 2 of 2: Molokai George Balazs Field Notebook
2003- Sheer Inspiration. Includes Molokai Turtle Fishing. The Oregonian.
2004 Part 1 of 2: Molokai George Balazs Field Notebook.
2004- Part 2 of 2: Molokai George Balazs Field Notebook.
2005 & 2006- Lil MacMillan Kawa'aloa Field Notes Molokai.
2005-2007 Part 1 of 2: Molokai George Balazs Field Notebook for Pala'au and Kawa'aloa.
2005-2007 Part 2 of 2: Molokai George Balazs Field Notebook for Pala'au and Kawa'aloa.
2007- Lil MacMillan Kawa'aloa Field Notes Molokai.
2007-2009+ Molokai George Balazs Field Notebook.
2007-2013 Lillian MacMillan Workbooks for Kawa'aloa Molokai.
2008 Nest Listing for Moomomi by Lil MacMillan.
2008 & 2009- Lil MacMillan Kawa'aloa Field Notes Molokai.
2009 and 2012 Notes from Joan Aidem to George Balazs.
2010, 2011 & 2012- Lil MacMillan Kawa'aloa and Kalani Field Notes Molokai.
2010-2011 Part 1 of 2: Molokai George Balazs Field Notebook.
2010-2011 Part 2 of 2: Molokai George Balazs Field Notebook.
2012- Molokai Gill Net Study. DLNR-DAR Technical Report.
2012, 2013 & 2014- Lil MacMillan Kawa'aloa and Kalani Field Notes Molokai.
2013- Medeiros Family Christmas Letter.
Dutton, Balazs and Frey (2014) Hawaiian nesting range shift offers rare learning opportunity. SWOT.
2014- TNC Molokai Nature's Newsflash November Issue- Kalani Turtle Take.
2014, 2015, 2016 & 2017- Lil MacMillan Kawa'aloa and Kalani Field Notes Molokai.
2016- Hansen's Patient Numbers Dwindle with Recent Deaths.
2019-2020 Merry Christmas from Di and Eddie Medieros.
2020- Kawaaloa Bay Turtle Monitoring Map by Nadine Powell.
2020- Green Sea Turtle Monitoring Report for TNC Molokai, Hawaii by Nadine Powell.
2020- Nesting Monitoring Details for TNC at Kawa'aloa Molokai by Nadine Powell.
2021- Diane & Eddie Christmas Letter.
2022- The Community is Mobilizing Again to Buy Molokai Ranch: Will it work? Honolulu Civil Beat.
2022 & 2023 Medeiros Family Molokai Christmas Letter.
2023- Gate To Kawakiu Beach On Molokai Is Open Again — For Now.
2024- Diane & Ed Medeiros Christmas Letter.
2025- Native Hawaiians confront billionaire's megayacht in Hawaii. SFGate.
2025- From the first crossing- Rawlins ohana has deep ties to Molokai Hoe.
2026- Kalaupapa Has Just 5 Left. What Is Planned When It Has None.
























































































































































